THE PRICE THE PRICE THE PRICE

A large family home in need of repairs and renovations.

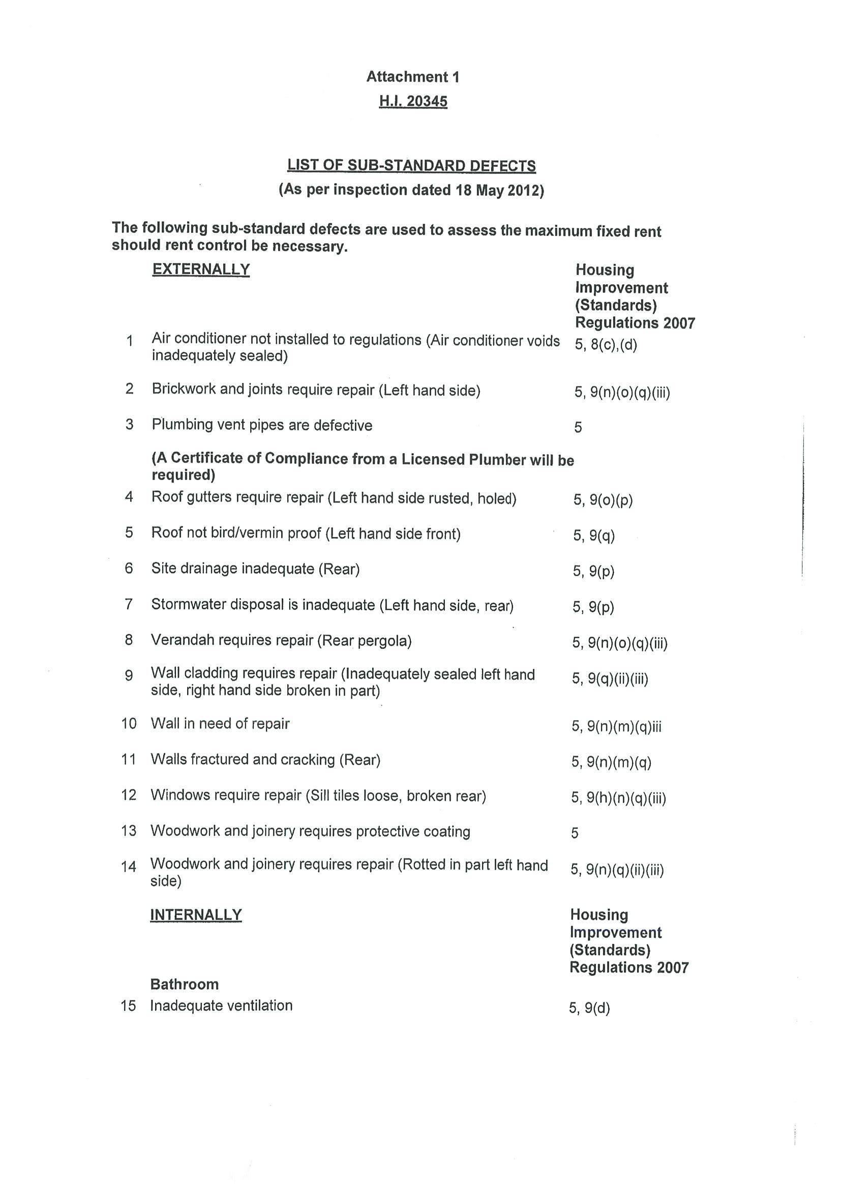
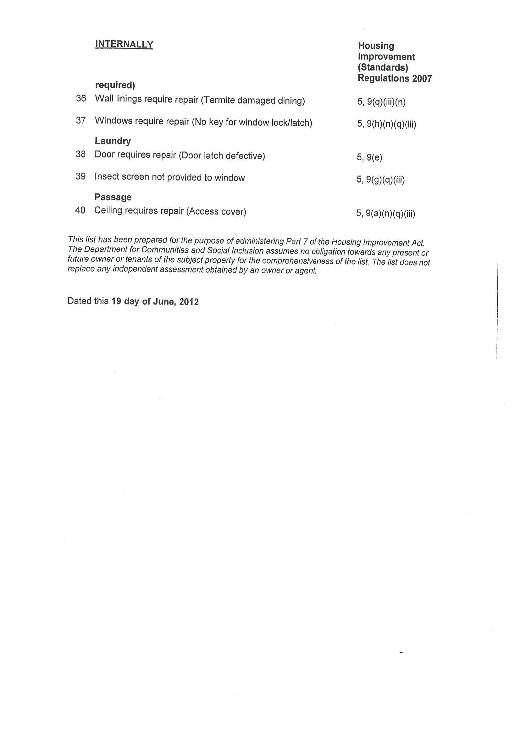
At present registered HIA order HI: 20345 – please note fixed rent @ $172.00 per week.

Property offers community title brick/brick veneer construction, tiled roof with street frontage.

Step inside, offers five generous sized bedrooms, separate lounge, original gas kitchen/dine, separate bathroom, toilet, laundry, ducted evaporative air conditioning, verandah, pergola, roller shutters & off-street parking

Specifications

CT 6016/744

Council - Playford Council

Zoning - Residential

Built - 1965

Land - 429m2

Building Area – 129m2

Council Rate - $1392.05 pa

SA Water - $281.10 pq

ESL - $78.00 pa

Community Title Insurance - $163.37 pa

 

Make an appointment to view today

For further enquiries call Romeo Riccio direct on 0412 846 021

LARCOR Real Estate, 42 Ann Street, Salisbury SA 5108

RLA154447

 Disclaimer: All information provided (included but not limited to the properties land size, floor plan and floor size, building age and general property description) has obtained been obtained from sources deemed reliable, however, we cannot guarantee the information is accurate and we accept no liability for any errors or oversights. Interested parties should make their own inquiries and obtain their own legal advice.

 

5 1 1
Suburb Davoren Park
Price SOLD
Property Type Residential
Property ID 1253
Category House

Agent Details

Romeo Riccio photo

Romeo Riccio

0412 846 021
View Profile